您的浏览器不支持音频播放,请升级或更换浏览器。
当前位置:
主页
>
陆氏大统谱
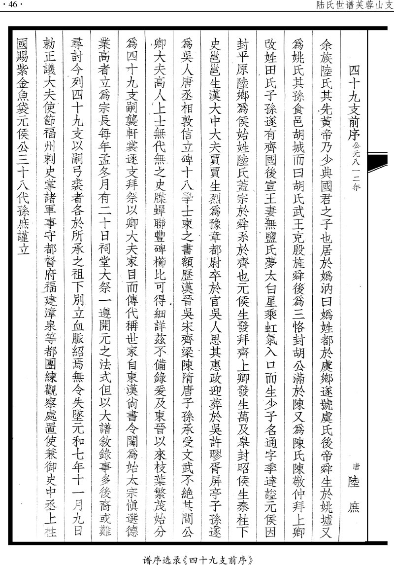
历版陆氏世谱《谱序》
上一篇:《家训》、《训孙语》
下一篇:国家图书馆收藏证书